

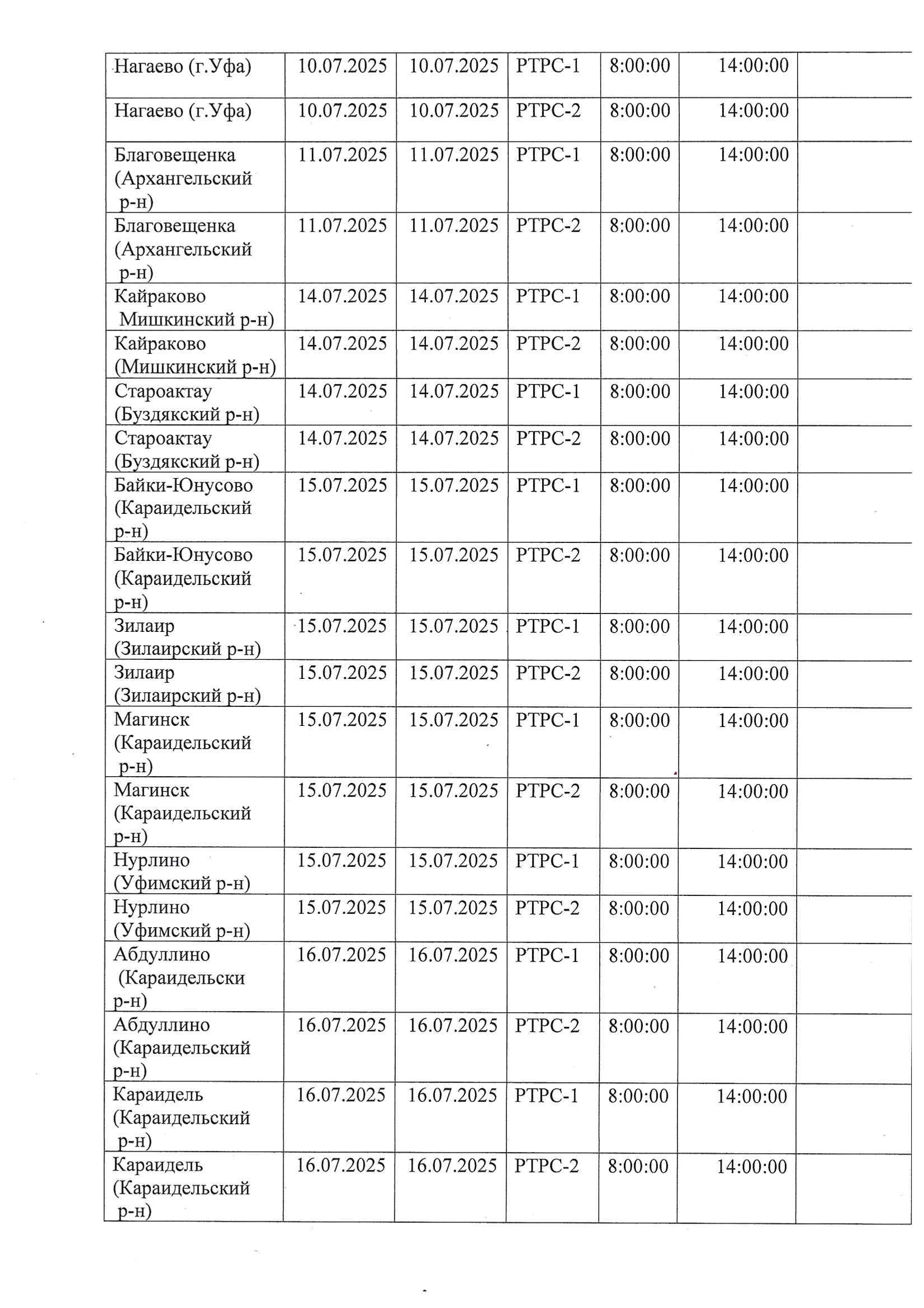
В период с 7 по 31 июля жителям Башкирии следует ожидать временное прекращение вещания теле- и радиоканалов, входящих в первый и второй мультиплексы (РТРС-1 и РТРС-2). По данным пресс-службы Российской телевизионной и радиовещательной сети, это связано с проведением плановых профилактических мероприятий.
Продолжительность перерыва в трансляции в каждом конкретном населенном пункте будет варьироваться от шести до девяти часов, сообщает "РБ". Подробный график отключений доступен для ознакомления ниже.